| 三、换热冷却设备 |
(一)SJHF换热器
★产品特性
SJHF系列静态混合器,适用于高粘度介质的热交换过程和聚合瓜过程,对于粘度大于3千厘泊的高粘度介质,传热膜系数仍能达到200-400W/M2℃,比体积传热率也能达到10-20kw/m2℃与普通的列管式换热器相比提高到4-5倍,与板式换热器相比用于高粘度介质时,SJHF型传热膜系数是它的2倍左右。SJHF型的这些优异性能非常适用于高粘度介质的加热、冷却、热量回收等过程。
SJHF系列静态混合器整个换热器的每一横截面处温度分布均匀。SJHF型不仅依靠流体从管壁到管中心双向的交叉流动,使物料、温度变得均匀,而且从内部进行均匀加热(或冷却),因此用作聚合反应时,基本上能消除由于温度分布不均造成的聚合不均匀,有利于提高聚合物质量,对减少能耗,提高转化率大有好处。
★产品型号及主要参数 表3-1 |
|
型号
|
SJHF-1.4
|
SJHF-3
|
SJHF-6
|
SJHF-14
|
|
传热面积m2
|
1.4
|
3
|
6
|
14
|
|
设备体积m3
|
0.022
|
0.047
|
0.094
|
0.22
|
|
高粘度介质接管
|
DN40或DN50
|
DN50或DN65
|
DN65或DN80
|
DN80或DN100
|
|
冷却(或加热)介质接管
|
G3/4"
|
G1"
|
G1 1/4"
|
G1 1/2"
|
|
设备长度M
|
2.6
|
3.3
|
4.3
|
5.6
|
|
处理量Kg/h
|
180-1800
|
300-3000
|
470-4700
|
840-8400
|
|
适用介质粘度CP
|
102-108
|
102-108
|
102-108
|
102-108
|
|
 |
|
★产品用途
SJHF型静态混合器适用于各个工业部门中高粘度介质的换热过程:
◆食品工业中油脂的加热和冷却
◆合纤和塑料工业中熔融树脂的加热,冷却以及聚合物溶液的加热和冷却
◆日化工业中粘结剂的加热,冷却以及化妆品的加热和冷却
◆石油工业中熔融沥青、重油、原油、渣油的加热和冷却
◆炸药工业中乳化炸药的冷却
SJHF型静态混合器还适用作聚合反应器
◆用作聚苯乙烯的聚合反应
◆用于苯乙烯丙烯腈共聚物的生产装置
◆用于丙烯腈丁二烯苯乙烯共聚物的生产装置
◆用作聚酰胺6的聚合反应器 |
★应用实例
某矿冶研究总院在乳化炸药高粘度乳胶的冷却工序中应用于SJHF型静态混合器,不仅保证冷热流体交叉流动,彼此混合使温度变得均匀的机理,而且,是从内部进行均匀地冷却,提高了比体积传速率,解决了高粘度物料高效冷却的难题。 |
|
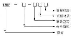
SJHF型静态混合器的表示方法
|
 |
管程材质和壳程材质共分四种,A表示普通碳钢;B表示普通不锈钢;C表示耐热合金钢(碳钢);S表示耐热不锈钢。安装方式有四种:L表示立式安装;W表示卧式安装。传热面积目前有四种:1.4M2、3M2、6M2、14M2。
示例:SJHF-1.4-LAB表示传热面积为1.4m2立式安装的SJHF型静态混合器,壳程材质为普通碳钢,管程式材质为普通不锈钢。 |
| |
| |